导数与微分
导数


导函数


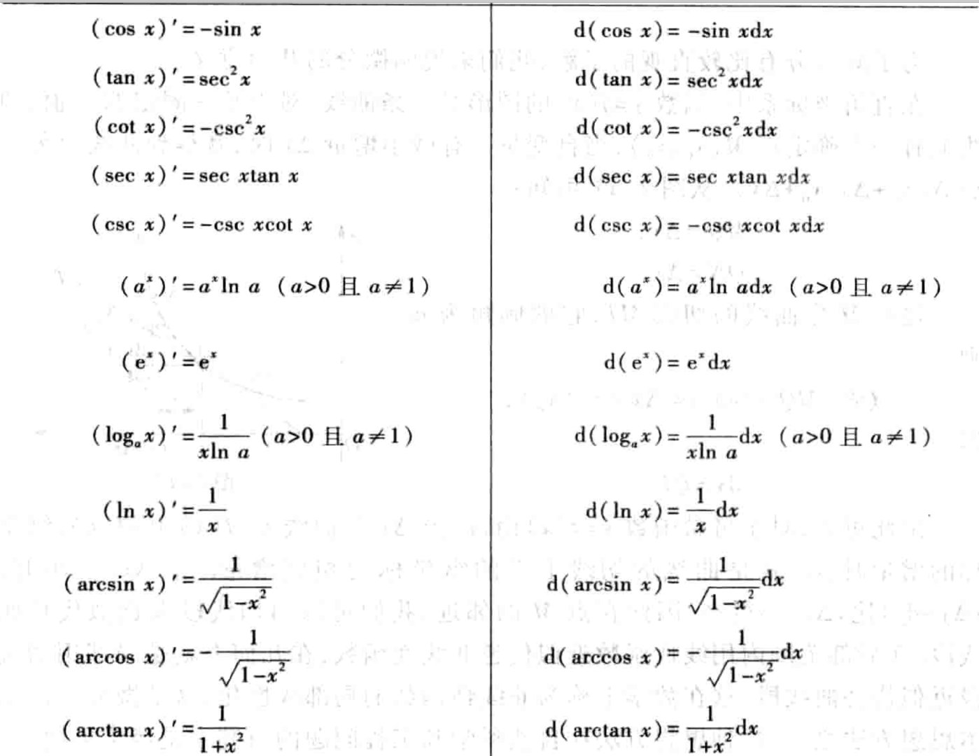
特殊函数的导数公式
幂函数的导数公式
幂函数f(x) = xn (n ϵ R ) 的导数公式:
(xn)‘ = nxn-1
三角函数的导数公式
正弦函数 f(x) = sin x 的导数公式
- (sin x)‘ = cos x
即正弦函数的导数是余弦函数。
余弦函数 f(x) = cos x 的导数公式:
- (cos x)‘ = -sina x
即余弦函数的导数是负的正弦函数。
正切函数 f(x) = tan x 的导数公式:
- (tan x)‘ = sec2x
余切函数 f(x) = cot x 的导数公式:
- (cot x)‘ = - csc2x
正割函数 f(x) = sec x 的导数公式:
- (sec x)‘ = sec x * tan x
余割函数 f(x) = csc x 的导数公式:
- (csc x)‘ = - csc x * cot x
反正弦函数 f(x) = arcsinx x 的导数公式:

- 反余弦函数 f(x) = arccos x 的导数公式:

- 反正切函数 f(x) = arctan x 的导数公式:

- 反余切函数 f(x) = arccot x 的导数公式:

指数函数的导数公式
指数函数f(x) = ax (a>0,a≠1)的导数公式:

对数函数的导数公式
对数函数f(x) = logax (a>0,a≠1)的导数公式:

导数的几何意义

求导法则
函数的和,差,积,商的求导法则

反函数的求导法则

- 即反函数的导数等于直接函数导数的倒数。
复合函数的求导法则


基本初等函数的导数公式总结:

高阶导数

微分

微分的几何意义

基本初等函数的微分公式



函数和,差,积,商的积分法则

复合函数的微分法则

微分中值定理
费马引理

罗尔定理

拉格朗日中值定理

拉格朗日中值定理的几何意义


柯西中值定理

洛必达法则


泰勒公式


函数的单调性
曲线的凹凸性


函数的极值与最大值最小值
当函数取极大值和极小值时,函数在这两个点的导数值等于0。
- 当函数在该点的二阶导数为正时,函数取极小值。
- 当函数在该点的二阶导数为负时,函数取极大值。
- 当函数在该点的二阶导数为0时,该点称为函数的拐点。
微积分中的大部分问题,都可以令其导数值为0来求解。
